36+ Contoh Soal Cerita Tentang Bep

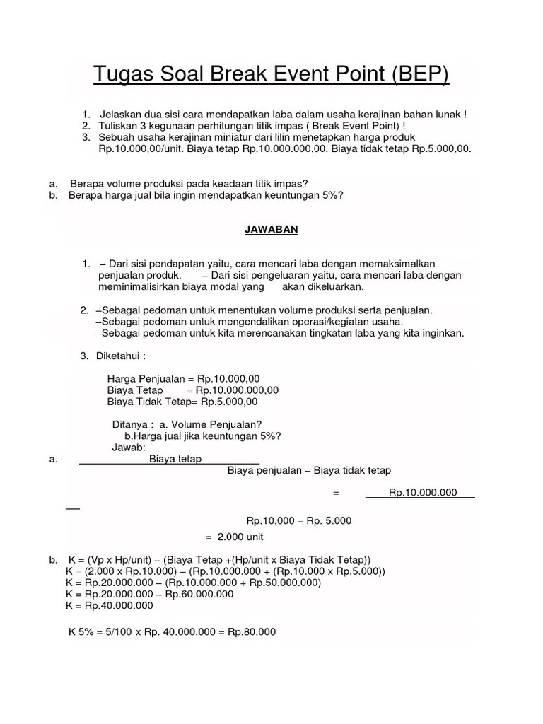
36+ Contoh Soal Cerita Tentang Bep. Misalnya ada sebuah perusahaan membuat alat spray aerator yang harga satu unitnya adalah rp. · harga jual persatuan diperkirakan rp. Perhitungannya mudah yaitu dengan mengambil total biaya . Simak juga cara menentukan bep . Contoh soal 2 · membuat bep dalam nominal rupiah, unit, dan persentase terhadap kapasitas! Break even point pengertian bep atau break even point adalah total pendapatan yang didapatkan sama dengan biaya yang dikeluarkan. Secara sederhana, bep merupakan titik balik modal kita. Biaya gaji pegawai + pemilik : Cara menghitung bep adalah membagi total biaya tetap dengan produksi dan pendapatan per unit individu dikurangi biaya variabel per unit. Bep merupakan singkatan dari break even point.
0 Response to "36+ Contoh Soal Cerita Tentang Bep"
Posting Komentar