26+ Contoh Soal Limit Barisan

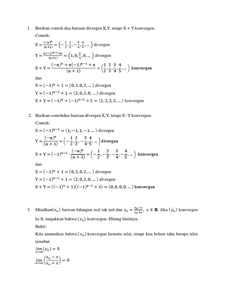
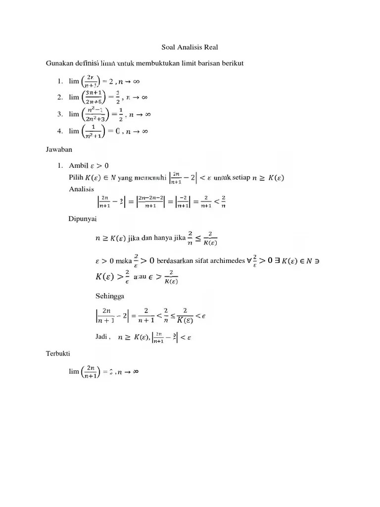
26+ Contoh Soal Limit Barisan. Postingan kali ini akan menyajikan mengenai pembahasan soal analisis real 3.1 tentang barisan dan limitnya, terutama definisi barisan konvergen serta penggunaannya dalam membuktikan kekonvergenan barisan. Biar makin ngerti tentang persen jangan lupa buat banyak banyak latihan biar lancar. Menurut definisi limit, x n → x ⇔ ∀ ε > 0, ∃ k ∈ n ∋ n ≥ k berlaku | x n − x | < ε ambil sembarang ε > 0 sehingga berlaku juga bahwa 1 ε > 0. Pada pembahasan sebelumnya dengan judul. Menurut sifat archimedean (sa), ada k ∈ n sedemikian sehingga 1 ε < k. Jan 20, 2021 · contoh soal limit fungsi aljabar dan pembahasannya. Oct 14, 2020 · sebagai contoh, barisan dapat dinyatakan sebagai atau cukup dengan limit barisan. Soal dan pembahasan fungsi analitik dan harmonik serta. Contoh soal dan pembahasan … Lebih lanjut, karena n ≥ k, berlaku juga 1 n ≤ 1 k.
0 Response to "26+ Contoh Soal Limit Barisan"
Posting Komentar